Видео: 7х

Подборка новых видео на тему 7х на сегодня 21 April 2026 года

Уроки чтения Корана и Дуа
  30.09.2023
СВАРГА.РФ (АНГАРЫ, ДОМА, ГАРАЖИ, НАВЕСЫ)
  06.09.2025
Подготовка к экзаменам
  25.04.2024
lemon_auto
  05.02.2025
Домашний идеал
  23.01.2024
Строительные Путешествия
  23.08.2023
Уборка со вкусом
  17.11.2023
Кошачьи приключения в мире природы
  30.03.2024
Экология: Земля и жизнь
  04.04.2024
Boogeyman # garage #
  14.02.2026
Мобильная Лаборатория
  10.02.2024
Математика. Global_EE. Банк Заданий
  28.05.2025
Вова47к
  12.12.2024
Школа Самозащиты Стальные Нервы
  02.01.2024
Лайфхаки для умного и удобного дома
  13.01.2024
Новости из Мобильника
  10.02.2024

7

channel67591042
  01.04.2026
К-3 коттедж и каркас. Видеоролики Николаева Э.М.
  15.11.2025
РемонтЗАшоколадкУ
  07.07.2019
Стройка Челлендж
  29.08.2023
Ремонт Пежо, Ситроен!
  15.12.2025
Выпускной groove: канал для танцев
  24.12.2023
Секреты утонченности
  01.11.2023
А ты знаешь?
  19.08.2025
ВИДЕОКАССЕТА
  23.01.2025
Dr.Барменталь
  13.04.2011
ТВОЙ КИНОТЕАТР | MOVIE TIME CINEMA
  04.07.2025
КИНОЧИЛЛ — фильмы и сериалы
  19.02.2025

7

channel47249167
  26.04.2025

7

channel39466566
  12.11.2024
Школьная история без учебника
  07.03.2026

7х - смотрите онлайн


7х Аль Фатиха 7х Аль Курси 7х Аль Ихлас 7х Ан-Нас.

Очень сильные аяты и суры Корана! Аят Аль Курси х7 Сура Аль Ихлас х7 Сура Аль Фалак х7 Сура Ан-Нас х7 Их достоинства: Хадис, Муслим «Самым величественным аятом в Книге Всевышнего Аллаха (в Коране) является Аятуль-Курси». Хадис, Муслим «Прочтение суры "Аль-Ихлас" сравнимо с чтением трети Корана» Хадис, Бухари "Всякий раз, когда посланник Аллаха(с.а.с.) заболевал, он читал две последние суры Корана (т.е. ''Фаляк'' и ''Нас''), а затем дул на свое тело.. Подписывайтесь на канал и не забудьте ставит лайки чтобы другие слушали это дуа. #альКурси #сураФатиха #сураИхлас #анНас #дуа #сура #коран #богатство #ризк #здаровье #счастье #ясин #намаз #аллах #альихлас #Альфатиха #аннас #дуанаутро #дуапередсном #избавлениеотпроблем #великийаяткорана... Смотреть видео...

Инструкция Zeekr 7х

00:00 - Объяснение зарядки 01:15 - Объяснение эксплуатации 01:52 - Треугольные знаки и предупреждающие огни опасности используются 02:37 - Шина/надувное пояснение 03:05 - Как использовать аварийную тягу 03:58 - Система управления аккумуляторами 04:59 - Объяснение встроенного в водительском регистраторе использования рекордера 05:46 - Используйте и инициализировали объяснение электрических окон 07:10 - Электрическое использование люка и инициализация объяснения 08:14 - Объяснение 09:21 - Внутреннее зеркало заднего вида Использование Объяснение 09:42 - Объяснение водительских сидений 11:03 - Массаж переднего сиденья/отопление/вентиляция объяснение 12:20 - Память сиденья водителя/комфорт введите объяснение 13:15 - Объяснение использования... Смотреть видео...

Huawei Honor 7х Обзор и Сравнение

Скачать ссылку Huawei Honor 7х: и сравнение с Huawei Honor 6. Honor 7X от Huawei, первый полно экранный смартфон с ценником в районе 200$. Все цены на Honor 7X здесь: Чехол на Huawei Honor 7x: Еще один чехол на него: Huawei Honor 7x мобильный телефон: Huawei Honor 7x (чуть дороже): Huawei Honor 7x (еще дороже, но проверенный продавец): Huawei Honor 6 уже не выпускают, поэтому даю ссылки на: Huawei Honor 6x: Huawei Honor Play 6A: Кэшбек (%СКИДКИ): Главная страница сайта где скидки при покупке: Браузерное рашсширение сайта где скидки при покупке: Колесо фортуны сайта где скидки при покупке: Активировать промо-код: После регистрации до 80% кэшбэка: Получаете 75 центов за каждую подтвержденную покупку на алиэкспрес: ... Смотреть видео...

Интервью: ROMKOLA и Александр Трубников/7Х на крипте/Откуда деньги?/Дом за 0руб реально?

Роман Колесников — эксперт по масштабированию проектов, повышению эффективности бизнес-моделей и инвестициям. Он успешно монетизируют идеи, проводят бизнес-разборы и делятся ценными знаниями в своих группах разборов в Telegram. Ссылки и контакты: - Telegram группа разборов: - Telegram канал: - Сайт Романа: - IT-сервис: Александр Трубников — успешный предприниматель, основатель компании VegTaste и ряда проектов в области web3. Он создал инновационные продукты, такие как Black'n'White, Capsule Studio и Go Green. В настоящее время является CEO проекта Avrora и запустил сервис "True Credit" для доступных финансовых возможностей. Ссылки и контакты: - True Credit- - Winner bot: you_winner_bot?start=869... - Telegram: -... Смотреть видео...

Улучшенная русификация на Zeekr 7Х 2024–2025 (OS 6.5)

Что нового: Интерфейс и управление ⚪ Перевод основного экрана, HUD, приборной панели ⚪ Управление музыкой/видео с руля ⚪ Вывод треков на приборную панель ⚪ Разделение экрана на два приложения 🏳 Русифицирован задний монитор Приложения и навигация Новинка: собственное новостное приложение ⚪ Собственный магазин приложений ⚪ Выбор навигатора главного экрана: - Яндекс Навигатор - Яндекс Карты - 2ГИС - Waze - Навител ⚪ Навигатор адаптируется под размер панели с виджетами ⚪ Установлены адаптированные приложения для экрана 4К: - Я.Навигатор - Я.Музыка - Я.Карты - RUTUBE - ИВИ - Радио Дополнительные возможности ⚪ Установка приложения для просмотра YouTube ⚪ Приложение «Сценарии» на русском языке Технические особенности ⚪ Русификация без... Смотреть видео...

⚠️ HAMSTER KOMBAT - ПОЧЕМУ ПОКАЖЕТ 7Х! 🔵 МЫ ПОВТОРЯЕМ ИСТОРИЮ!

Проект с Павлом Дуровым - Турнир на 10 млн$ от Bybit (депозит 500$) - *+ 200,000 пулл CATS от Bybit* - Фармилка Дурова - 🔵 EtherDrops - Blum - *ТАПАЛКА ОТ БИНАНС* - Vana - Gamee - 🟡 *Bombie* - SideKick - Memefi - Major - NotPixel - BodyPump - CATS - ✅ *Актуальные новости и аирдропы* – *Канал по играм* - Канал по трейдингу - 🟡 Рефералы для игр - Прокси (скидка 15% промокод STARIKOV) - 🌶️ ByBit - (код: 65942) BingX - OKX - 🚸 Binance - Bitget - Gate.io - Blum - MemeFi - ⭕️Hot wallet - TapSwap - Дисклеймер ОТКАЗ ОТ ОТВЕТСТВЕННОСТИ Это не финансовый совет! Это видео и этот канал YouTube в целом предназначены исключительно для развлекательных целей. Инвестирование и торговля... Смотреть видео...

⚠️ HAMSTER KOMBAT - ПОЧЕМУ ПОКАЖЕТ 7Х! МЫ ПОВТОРЯЕМ ИСТОРИЮ!

Проект с Павлом Дуровым - Турнир на 10 млн$ от Bybit (депозит 500$) - *+ 200,000 пулл CATS от Bybit* - Фармилка Дурова - EtherDrops - Blum - *ТАПАЛКА ОТ БИНАНС* - Vana - Gamee - *Bombie* - SideKick - Memefi - Major - NotPixel - BodyPump - CATS - ✅ *Актуальные новости и аирдропы* – *Канал по играм* - Канал по трейдингу - Рефералы для игр - Прокси (скидка 15% промокод STARIKOV) - ️ ByBit - (код: 65942) BingX - OKX - Binance - Bitget - Gate.io - Blum - MemeFi - ⭕️Hot wallet - TapSwap - Дисклеймер ОТКАЗ ОТ ОТВЕТСТВЕННОСТИ Это не финансовый совет! Это видео и этот канал YouTube в целом предназначены исключительно для развлекательных целей. Инвестирование и торговля сопряжены с... Смотреть видео...

❌ MEM CATS - ПОЛУЧИЛИ 7х 🔥 СРОЧНО! Как получить БОЛЬШЕ КЭТС и как вывести CATS на карту

+ 200,000 пулл CATS от Bybit - Турнир на 10 млн$ от Bybit (депозит 500$) - 🔵 EtherDrops - Blum - ТАПАЛКА ОТ БИНАНС - Vana - Gamee - 🟡 Bombie - SideKick - Memefi - Major - Фармилка Дурова - CATS - NotPixel - BodyPump - ✅ Актуальные новости и аирдропы – Канал по играм - Канал по трейдингу - 🟡 Рефералы для игр - Прокси (скидка 15% промокод STARIKOV) - 🌶️ ByBit - (код: 65942) BingX - OKX - 🚸 Binance - Bitget - Gate.io - ⭕️Hot wallet - TapSwap - Дисклеймер ОТКАЗ ОТ ОТВЕТСТВЕННОСТИ Это не финансовый совет! Это видео и этот канал YouTube в целом предназначены исключительно для развлекательных целей. Инвестирование и торговля сопряжены с риском. Прежде чем подвергать риску свой капитал,... Смотреть видео...

РОЗЫГРЫШ 7х Frozen Tamer И КАК ЛУЧАДОР ДЕРЖАЛСЯ ДО ПОСЛЕДНЕГО | War Robots | Vkplay

Всем Привет. В этом видео у нас проходит розыгрыш 7 штук Frozen Tamer Чтобы принять участие в розыгрыше нужно: 1) Поставить лайк этому видео 2) Подписаться на канал 3) Написать в комментариях свой ID и платформу где вы играете Победителя определим с помощью рандомайзера. Результаты розыгрыша будут опубликованы 10 Января 2024 года в моем Discord сервере ( ) и Telegram канале : ВАЖНО! : Одно оружие Frozen Tamer в одни руки. Если рандомайзер два раза выберет одного победителя, приз будет переразыгран. Также не стоит писать больше одного комментария, это не увеличит ваши шансы на победу. #WRwinFTamer РОЗЫГРЫШ 7х Frozen Tamer И КАК ЛУЧАДОР ДЕРЖАЛСЯ ДО ПОСЛЕДНЕГО | War Robots | Vkplay War Robots GamePlay War Robots Let's Play Вар... Смотреть видео...

Септаккорды на бас-гитаре. Лучшее использование 7х ступеней в аккомпанементе.

Бесплатый пробный урок по бас-гитаре в Москве: Бас гитара - Акустическая гитара - Электрогитара - Укулеле - Бесплатый пробный урок по бас-гитаре в Санкт-Петербурге: Бас гитара - Акустическая гитара - Электрогитара - Укулеле - Для того чтобы задать вопрос, обязательно подпишитесь на наш инстаграм: Напиши в директ как тебя зовут, сколько тебе лет и из какого ты города. А всех тех, кто проживает в городе Москва, приглашаю к себе на занятия, где мы подробно разберем все ваши вопросы. Сообщество ВК - Сообщество Facebook - Септаккорды на бас-гитаре. Лучшее использование 7х ступеней в аккомпанементе. Использование в аккомпанементе. Обсудим использование седьмых ступеней в аккомпанементе на бас-гитаре. Всем привет, я... Смотреть видео...

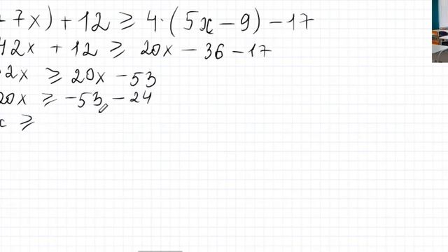
Решите уравнение 7х-4=-3х. Решу огэ. Решение с объяснением. Математика бесплатно.огэ 2022 математик

Решите уравнение 7х-4=-3х. Решу огэ. Решение с объяснением. Математика бесплатно. огэ 2022 по математике. - огэ по математике. Подробный разбор заданий. Решение огэ. ОГЭ 2022. Египет 2021 за 22 тысячи рублей (300 долларов) на 13 ночей. Шведский стол, лучшие пляжи, еда, море, погода, питание, экскурсии. Отдых в Египте. Отдых в Сафаге. Сафага, Хургада. Удобный заход в море. Египет 2021. Экскурсии в Египте. Каир, пирамиды, музей, Райский остров, дайвинг, снорклинг, Египетские Мальдивы. Достопримечательности Египта. Что посмотреть в Египте отзывы. Египет 2021 за 22 тысячи рублей (300 долларов) на 13 ночей. Шведский стол, лучшие пляжи, еда, море, погода, питание, экскурсии. Отдых в Египте. Отдых в Сафаге. Сафага, Хургада. Удобный... Смотреть видео...

9)Решите уравнение 5х^2-7х=-2. Если уравнение имеет более одного корня, в ответе запишите меньший и

- огэ по математике. Подробный разбор заданий. Решение огэ. ОГЭ 2022. Египет 2021 за 22 тысячи рублей (300 долларов). Шведский стол, лучшие пляжи, еда, море, погода, питание, экскурсии. Отдых в Египте. Отдых в Сафаге. Сафага, Хургада. Удобный заход в море. Египет 2021. Экскурсии в Египте. Каир, пирамиды, музей, Райский остров, дайвинг, снорклинг, Египетские Мальдивы. Достопримечательности Египта. Что посмотреть в Египте отзывы. Как отбить Аппетит с утра и до вечера. Салат вкусный для похудения. Напиток для похудения бесплатно. Рыба для похудения. Завтрак для похудения 26 ккалорий. Оладьи для Похудения зелёные. Бутерброды для Похудения без хлеба и хлебцов. 9)Решите уравнение 5х^2-7х=-2. Если уравнение имеет более... Смотреть видео...

Семь / Se7en (1995)

«Он возомнил себя Богом и начал карать...» «Семь» — напряженный и мрачный триллер режиссера Дэвида Финчера, в котором два детектива расследуют серию жестоких убийств, связанных с семью смертными грехами. Молодой амбициозный детектив и его опытный напарник вступают в психологическую игру с хладнокровным серийным убийцей, чей план пугающе продуман. Фильм исследует человеческие пороки, моральные дилеммы и тьму, скрытую внутри каждого из нас. Режиссер: Дэвид Финчер / David Fincher Актеры: Брэд Питт / Brad Pitt, Морган Фримен / Morgan Freeman, Гвинет Пэлтроу / Gwyneth Paltrow, Кевин Спейси / Kevin Spacey, Р. Ли Эрми / R. Lee Ermey, Джон К.МакГинли / John C. McGinley, Ричард Шифф / Richard Schiff Год выпуска: 1995 Страна: США Жанр: триллер,... Смотреть видео...

Семь (1995) | Seven (Дубляж)

Семь (1995) | Seven (Дубляж) В ролях: Брэд Питт, Морган Фриман, Гвинет Пэлтроу, Кевин Спейси, Р. Ли Эрми, Ричард Шифф, Марк Бун Джуниор, Ричард Раундтри, Джон К. МакГинли, Рег Э. Кэти Режиссёр: Дэвид Финчер Страна: США Жанр: преступление, триллер, драма, детектив КП: 8.3 | IMDb: 8.6 ____________ Детектив Уильям Сомерсет — ветеран уголовного розыска, мечтающий уйти на пенсию и уехать подальше от города и его грешных обитателей. За семь дней до пенсии на Сомерсета сваливаются две неприятности: молодой напарник Миллс и особо изощренное убийство. Острый ум опытного следователя сразу определяет, что за этим преступлением, скорее всего, последуют другие. #КиноЧилл #KinoChill #фильмы #фильм #сериалы #сериал #кино #лучшиефильмы... Смотреть видео...