Видео: Егэ2023

Подборка новых видео на тему Егэ2023 на сегодня 21 April 2026 года

Загадочная Поваренная Книга
  21.11.2023
Управление образования и молодежной политики
  25.03.2026
Как Сделать с Заботой
  14.09.2023
МАТЕМАТИКА ЕГЭ ОГЭ С ВИКТОРОМ ЛАЗАРЕВЫМ
  07.09.2024
Классные соревнования по физической выносливости и спорту
  13.12.2023
Профильная математика ЕГЭ 2026 Умскул
  28.08.2025
Саня Эбонит | Физика ЕГЭ | 100балльный репетитор
  15.04.2026
Игры в космическом возможностях
  24.04.2024
channel28418598
  04.03.2025
Наталья Болтухова
  13.12.2022
Человеческий код: история любви и семейства
  02.05.2024
Секреты Креативного Мышления
  20.09.2023
Профильная математика ЕГЭ 2026 Умскул
  03.06.2025
Решение уравнений и неравенств
  05.09.2023
Русский язык ЕГЭ 2026 Умскул
  20.09.2025
Русский Язык. Global_EE. Сэвиндж Исмаилова
  04.05.2025
Домашняя электроинсталляция
  03.01.2024
Кабинет математики l ОГЭ l ЕГЭ l ВПР
  20.08.2025
Depression Defeat
  30.10.2024
Чистота с заботой
  17.11.2023
Обществознание ЕГЭ 2026 Умскул
  01.04.2026
наше ОбществОзнание ЕГЭ
  16.08.2024
Профильная математика ЕГЭ 2026 Умскул
  14.05.2025
Информатика ЕГЭ 2026 Умскул
  21.04.2026
Спортивные товары: ключи к успеха и победе во всем мире
  13.05.2025
Личный сайт Tutoreng.ru, т.89102436382
  01.09.2025
♡Снимаю Про Всë♡
  18.10.2025
Все трейлеры
  11.12.2025
ОБЪЕКТИВ "-18"
  22.06.2022
channel62059245
  20.04.2026

Егэ2023 - смотрите онлайн


Что будет на ЕГЭ2023 Профильная математика

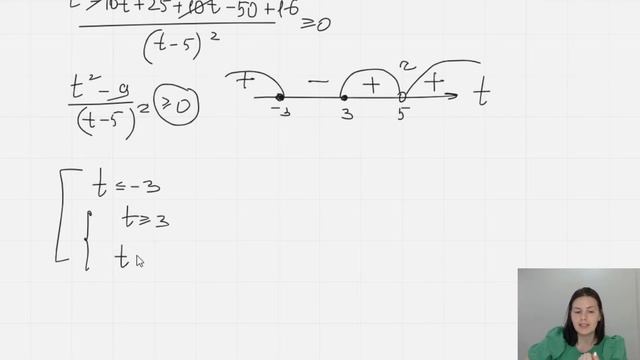
? Нравится контент -- ставь лайк и пиши коммент? Отзывы моих учеников - ? ЗАПИСЬ в ЛЕТНЮЮ ШКОЛУ ЕГЭ, старт 20 июня: ТАЙМКОДЫ в комментариях Дарю курс по ЭКОНОМИКЕ задание 15 + ПОВТОРЕНИЕ ЕГЭ: мой прогноз на ЕГЭ 2023, решаем вариант 00:00-3:50 введение 03:51-6:00 задание 1.1 6:05-7:25 задание 1.2 15:40-18:12 задание 2.1 18:13-20:39 задание 2.2 20:40-22:18 задание 3 22:21-25:10 задание 4 25:12-28:04 задание 5.1 28:05-30:18 задание 5.2 30:20-35:00 задание 6.1 35:01-36:10 задание 6.2 36:31-38:15 задание 6.3 38:34-41:20 задание 7.1 41:22-42:33 задание 7.2 42:34-47:25 задание 8 47:34-51:15 задание 9 52:24-55:29 задание 10 55:45-1:00:30 задание 11. 1:00:41-1:08:51 задание... Смотреть видео...

Все типы 1 задание егэ математика профиль 2026

👉 Забирай бесплатные полезные файлы для подготовки к ЕГЭ по профильной математике из закрепа в телеграм-канале: Я Артур Шарафиев, готовлю 11-классников к ЕГЭ по профильной математике в онлайн-школе «Умскул». Я выпустил уже 38 стобалльников, а 821 мой ученик сдал на 90+. Для меня важны твои результаты: всегда готов продлить вебинар или провести дополнительный, если вижу, что это необходимо моим ученикам. 🍓 Готовься к ЕГЭ вместе с Умскул уже сейчас, чтобы точно сдать на максимум. Переходи по ссылке, чтобы записаться или задать вопрос: Мы составим для тебя персональный трек обучения по 4 предметам так, что ты не выгоришь, и поможем поступить в вуз, о котором ты мечтаешь! С нашими преподавателями ты точно поймёшь и полюбишь... Смотреть видео...

ЕГЭ в эпоху ИИ: новые инструменты и ограничения для школьников

До ЕГЭ остается несколько недель, и школьники ищут новые способы подготовки: от нейросетей до групповых форматов. Какие инструменты работают и какие риски возникают — в программе «Чат с учителем» Использование искусственного интеллекта становится частью подготовки, однако его роль ограничена: по данным опросов, нейросети применяют около четверти школьников, тогда как основными остаются традиционные форматы — сайты с заданиями, репетиторы и видеокурсы. В эфире Радио РБК Владислав Вуль, преподаватель математики, руководитель школы по подготовке к ЕГЭ «Профиматика», и Виктория Бронникова, репетитор по математике, блогер, автор образовательных онлайн-проектов, отметили, что ИИ эффективен как инструмент структурирования подготовки и поиска... Смотреть видео...

Предсказание ЕГЭ 2026 | 1 Вариант | Саня Эбонит

🧲 Хочешь ЭБОНУТЬ физику на 100 баллов? Залетай на мой курс: Готовишься сдавать ЕГЭ по другим предметам? Системная и правильная подготовка очень важна! Мои коллеги знают, как подготовить тебя на высокие баллы! 👉 😎Мои соцсети Telegram ВКонтакте 💻Наши платформы для обучения Образовательная платформа «Банк ЕГЭ» — готовься к экзамену с правильными заданиями #егэ2026 #физика #егэ #эбонит #егэ2026физика 00:00 начало 11:22 задание 1 13:50 задание 2 15:50 задание 3 17:00 задание 4 19:17 задание 5 26:10 задание 6 27:37 задание 7 28:54 задание 8 30:47 задание 9 35:53 задание 10 38:40 задание 11 40:27 задание 12 42:03 задание 13 43:26 задание 14 53:18 задание 15 54:39 задание 16 55:39 задание 17 59:18 задание 18 1:03:32 задание 19... Смотреть видео...

Стереометрия с нуля и до ЕГЭ за 8 часов: задание 14 из ЕГЭ по профилю | Умскул

👉 Забирай бесплатные полезные файлы для подготовки к ЕГЭ по профильной математике из закрепа в телеграм-канале: Я Артур Шарафиев, готовлю 11-классников к ЕГЭ по профильной математике в онлайн-школе «Умскул». Я выпустил уже 38 стобалльников, а 821 мой ученик сдал на 90+. Для меня важны твои результаты: всегда готов продлить вебинар или провести дополнительный, если вижу, что это необходимо моим ученикам. 🍓 Готовься к ЕГЭ вместе с Умскул уже сейчас, чтобы точно сдать на максимум. Переходи по ссылке, чтобы записаться или задать вопрос: Немного об Умскул: — Каждый 8-й стобалльник России в 2025 году готовился в Умскул. — Подготовили 4900+ стобалльников. — 47 000+ наших учеников сдали ЕГЭ на 90+. — 80 000+ отличников сдавших... Смотреть видео...

КАК ПОДГОТОВИТЬСЯ К ЕГЭ НА 70/75/80/90/100 ЗА ПОЛГОДА | ЕГЭ 2023 #егэ#егэ2023 #профильнаяматематика

Наша бесплатная беседа: Мы вк: Узнать свой уровень готовности к экзамену: ( по математике) (по информатике) (по физике) Наш ТГ: Наши курсы: по промокоду ЕГЭНА100 скидка 1000₽ на первый месяц Презентация полугодового курса. 00:00 – Вступление 02:17 – Как определить нужный балл на ЕГЭ 06:05 – Наборы заданий и баллы на ЕГЭ по математике 11:05 – Структура ЕГЭ по математике и разбалловка заданий 15:55 – Про распределение времени на экзамене 19:10 – Про 18 задание 23:35 – Про обучение в LABEGE 27:55 – Расписание занятий 29:04 – План занятий полугодового курса 30:40 – Цены на полугодовой курс (СКИДКИ!!) 33:23 – Как проходят уроки и о платформе курса 36:15 – Как выглядят уроки на GetCourse 38:05 – Кому подойдёт... Смотреть видео...

ВСЯ ОРФОГРАФИЯ для ЕГЭ за ОДИН УРОК | Русский язык ЕГЭ 2026 | Умскул

👉 Забирай бесплатные полезные файлы для подготовки к ЕГЭ по русскому из закрепа в телеграм-канале: Я Мария Вельф, преподаватель русского языка для учеников 10-х классов в онлайн-школе «Умскул». Я готовлю к ЕГЭ и взращиваю грамотность через любовь к русскому языку ❤️ 🍓 Готовься к ЕГЭ вместе с Умскул уже сейчас, чтобы точно сдать на максимум. Переходи по ссылке, чтобы записаться или задать вопрос: Мы составим для тебя персональный трек обучения по 4 предметам так, что ты не выгоришь, и поможем поступить в вуз, о котором ты мечтаешь! С нашими преподавателями ты точно поймёшь и полюбишь предмет и узнаешь обо всех подводных камнях экзаменов. Немного об Умскул: — Каждый 8-й стобалльник России в 2025 году готовился в Умскул. — Подготовили... Смотреть видео...

Study Vlog| Study With Me| предбанник от УМСКУЛ| готовлюсь к ЕГЭ за 1 месяц| ЕГЭ2023

?это тебе поможет? предбанник от УМСКУЛ поможет тебе подготовиться к ЕГЭ за месяц почти с 0!!! УМСКУЛ: ?обо мне? найти ты меня можешь в моем телеграмм канале: или в нельзяграме: ❓ваши вопросы: -что ты сдаёшь? я сдаю профильную математику, информатику и русский язык -где хочешь учиться? в Санкт-Петербурге, ВУЗ оглашать не хочу) -чем еще занимаешься? программировнием и танцами -кем хочешь стать? программистом; разработчиком мобильных приложений и веб-сайтов, программирую на Java ??сотрудничество со мной: — через ТГ ambalovaanatasia@gmail.com — почта возможно ты искал: день одиннадцатиклассницы/ выпускной/ фотосессия/ отдых/ мое утро/ that girl/ продуктивный день/ продуктивный вечер/ мой вечер/ мой день/ школьный влог/ ЕГЭ2023/... Смотреть видео...

ДОДО ПИЦЦА ДЛЯ ЕГЭ ПО ОБЩЕСТВОЗНАНИЮ! #обществознаниеегэ #егэ2023 #егэобществознание #dodo

Всем привет! На связи Егор Кант. Я продолжаю развивать наши мощные обществоведческие рубрики и создаю тот контент, который будет помогать вам эффективно запоминать теорию и успешно применять на практике. В этом видео ролике я рассказал про самую известную пиццерию в РФ - Додо Пицца. Надеюсь на вашу поддержку! Ставьте лайки и комментируйте) Спасибо за вдохновение и вкусную пиццу  @Dodo Brands Russia  ? ➖➖➖➖➖➖➖ Сдаешь ЕГЭ / ОГЭ по обществознанию в 2023 или 2024 году? ? Запишись на бесплатный урок, на котором получишь ценные советы и лайфхаки для подготовки к экзамену ЕГЭ и ОГЭ ? Что-то уже слышал про авторские карточки мнемоники от Егора Канта? Нет? Уже больше 5000 ребят получили их бесплатно и подготовились на высокие баллы. Забирай... Смотреть видео...

ДЕМО, ЕГЭ2023, задание № 1. Умение считывать данные в разных типах информационных моделей.

ДЕМО, ЕГЭ2023, задание № 1. Умение представлять и считывать данные в разных типах информационных моделей (схемы, карты, таблицы, графики и формулы). Графы, таблицы смежности. Соотнесение графа и таблицы смежности (таблицы связей) . Тайм коды: 00:00 - что проверяет задание № 1; 01:33 - задание 1 - условие; 04:51 - кратко про графы; 07:32 - переход к задаче на соотнесение; 08:12 - условие задачи на соотнесение; 11:12 - анализ данных: графа и таблицы смежности; 14:12 - какие пункты соответствуют вершинам Б, Ж, И? 15:40 - на схеме: Б, Ж, И - в таблице: П1, П4, П9. Установливаем: то есть кто? 20:20 - На схеме: Б, Ж, И - в таблице: П1, П4, П9. Кто есть кто – определили. 20:48 - установили пункты для вершин А и В; 21:22 -... Смотреть видео...

ВСЕ ПАРАМЕТРЫ 2025 — Задание 18 | ЕГЭ по математике ПРОФИЛЬ | Умскул

👉 Забирай бесплатные полезные файлы для подготовки к ЕГЭ по профильной математике из закрепа в телеграм-канале: Я Артур Шарафиев, готовлю 11-классников к ЕГЭ по профильной математике в онлайн-школе «Умскул». Я выпустил уже 38 стобалльников, а 821 мой ученик сдал на 90+. Для меня важны твои результаты: всегда готов продлить вебинар или провести дополнительный, если вижу, что это необходимо моим ученикам. 🍓 Готовься к ЕГЭ вместе с Умскул уже сейчас, чтобы точно сдать на максимум. Переходи по ссылке, чтобы записаться или задать вопрос: Мы составим для тебя персональный трек обучения по 4 предметам так, что ты не выгоришь, и поможем поступить в вуз, о котором ты мечтаешь! С нашими преподавателями ты точно поймёшь и полюбишь... Смотреть видео...

Вся 1 часть — Задания 1-12 ЕГЭ по математике ПРОФИЛЬ 2025 за 5 минут | Умскул

👉 Забирай бесплатные полезные файлы для подготовки к ЕГЭ по профильной математике из закрепа в телеграм-канале: Я Артур Шарафиев, готовлю 11-классников к ЕГЭ по профильной математике в онлайн-школе «Умскул». Я выпустил уже 38 стобалльников, а 821 мой ученик сдал на 90+. Для меня важны твои результаты: всегда готов продлить вебинар или провести дополнительный, если вижу, что это необходимо моим ученикам. 🍓 Готовься к ЕГЭ вместе с Умскул уже сейчас, чтобы точно сдать на максимум. Переходи по ссылке, чтобы записаться или задать вопрос: Мы составим для тебя персональный трек обучения по 4 предметам так, что ты не выгоришь, и поможем поступить в вуз, о котором ты мечтаешь! С нашими преподавателями ты точно поймёшь и полюбишь... Смотреть видео...

Как писать сочинение ЕГЭ по русскому 2026 | Умскул

➡️ Забирай бесплатные полезные файлы для подготовки к ЕГЭ по русскому из закрепа в телеграм-канале: В этом видео я расскажу, как писать сочинение ЕГЭ по русскому 2026. Разберём, как строить комментарий, сколько абзацев должно быть и как правильно приводить аргументы, чтобы получить высокий балл. Я Александр Долгих, готовлю 11-классников к ЕГЭ по русскому языку в онлайн-школе «Умскул». Я подготовил 1 495 стобалльника, а 19 000+ моих учеников сдали на 90+. Учу понимать русский язык, а не зубрить 💪 💯 Готовься к ЕГЭ вместе с Умскул уже сейчас, чтобы точно сдать на максимум. Переходи по ссылке, чтобы записаться или задать вопрос: Мы составим для тебя персональный трек обучения по 4 предметам так, что ты не выгоришь, и поможем поступить... Смотреть видео...

Пунктуация в ЕГЭ с Нуля по Русскому Языку 2025 - №16-21

Записаться на Курс: или Мой Телеграм с файлами: Наш сайт: Стать наставником на курсе: Занятия Годового Курса по русскому проходят трижды в неделю По выходным трансляции на канале в открытом доступе :) 00:00 - Ожидаем начала 01:00 - Начинаем 03:27 - Номера 16-21 03:55 - Открытые материалы 04:38 - Наши преподаватели 08:51 - Розыгрыш 10:20 - 16 задание 14:04 - 17 задание 14:50 - 18 задание 18:15 - 19 задание 18:52 - 20 задание 20:58 - 21 задание 23:32 - 16 задание 26:44 - 17 задание 27:43 - 18 задание 29:07 - 19 задание 30:06 - 20 задание 32:22 - 21 задание 36:55 - 16 задание 41:45 - 17 задание 43:49 - 18 задание 45:19 - 19 задание 45:48 - 20 задание 50:02 - 21 задание 52:20 - 16 задание 54:45 - 17 задание 57:15 - 18 задание 58:38 -... Смотреть видео...

ВСЕ задания 16, 17, 18, 19, 20, 21 ЕГЭ Русский язык: ПУНКТУАЦИЯ | Умскул

➡️ Забирай бесплатные полезные файлы для подготовки к ЕГЭ по русскому из закрепа в телеграм-канале: В этом видео разбираем все задания 16–21 ЕГЭ по русскому языку из раздела «Пунктуация». Покажу, как правильно ставить знаки, разберём типичные ошибки и секреты выполнения заданий. Смотри, чтобы уверенно решать пунктуацию на экзамене! Я Александр Долгих, готовлю 11-классников к ЕГЭ по русскому языку в онлайн-школе «Умскул». Я подготовил 1 495 стобалльника, а 19 000+ моих учеников сдали на 90+. Учу понимать русский язык, а не зубрить 💪 💯 Готовься к ЕГЭ вместе с Умскул уже сейчас, чтобы точно сдать на максимум. Переходи по ссылке, чтобы записаться или задать вопрос: Мы составим для тебя персональный трек обучения по 4 предметам так,... Смотреть видео...

Разбор варианта АПРОБАЦИЯ ЕГКР по информатике 18.04.2026 | Информатика ЕГЭ | Умскул

👉 Забирай мой авторский сборник и шаблоны прог для подготовки к ЕГЭ по информатике из закрепа в телеграм-канале: Я Виктория Ланская, готовлю 11-классников к ЕГЭ по информатике в онлайн-школе «Умскул». Выпустила 135 стобалльников, а 1 600+ моих учеников сдали на 90+. Я покажу тебе, что информатика — это про возможности и творчество! 🍓 Готовься к ЕГЭ вместе с Умскул уже сейчас, чтобы точно сдать на максимум. Переходи по ссылке, чтобы записаться или задать вопрос: Мы составим для тебя персональный трек обучения по 4 предметам так, что ты не выгоришь, и поможем поступить в вуз, о котором ты мечтаешь! С нашими преподавателями ты точно поймёшь и полюбишь предмет и узнаешь обо всех подводных камнях экзаменов. Немного об Умскул: — Каждый... Смотреть видео...

НАЛОГИ для ЕГЭ по обществознанию за 10 МИНУТ | Умскул

👉 Забирай бесплатные полезные файлы для подготовки к ЕГЭ по обществознанию из закрепа в телеграм-канале: Я Анастасия Малова, готовлю 11-классников к ЕГЭ по обществознанию в онлайн-школе «Умскул». Преподаю с 2016 года. 222 моих учеников сдали на 100 баллов, а 5 324 — на 90+ ⚡️ Я протестировала за тебя обучение на очке, заочке, а также в гуманитарном и техническом вузах. Поделюсь всеми плюсами и минусами ❤️ 🍓 Готовься к ЕГЭ вместе с Умскул уже сейчас, чтобы точно сдать на максимум. Переходи по ссылке, чтобы записаться или задать вопрос: Мы составим для тебя персональный трек обучения по 4 предметам так, что ты не выгоришь, и поможем поступить в вуз, о котором ты мечтаешь! С нашими преподавателями ты точно поймёшь и полюбишь предмет... Смотреть видео...

Задания 1, 2, 3 | Подробный разбор для ЕГЭ по русскому языку | Умскул

👉 Забирай бесплатные полезные файлы для подготовки к ЕГЭ по русскому из закрепа в телеграм-канале: Я Мария Вельф, преподаватель русского языка для учеников 10-х классов в онлайн-школе «Умскул». Я готовлю к ЕГЭ и взращиваю грамотность через любовь к русскому языку ❤️ 🍓 Готовься к ЕГЭ вместе с Умскул уже сейчас, чтобы точно сдать на максимум. Переходи по ссылке, чтобы записаться или задать вопрос: Мы составим для тебя персональный трек обучения по 4 предметам так, что ты не выгоришь, и поможем поступить в вуз, о котором ты мечтаешь! С нашими преподавателями ты точно поймёшь и полюбишь предмет и узнаешь обо всех подводных камнях экзаменов. Немного об Умскул: — Каждый 8-й стобалльник России в 2025 году готовился в Умскул. — Подготовили... Смотреть видео...

СССР в 1920-1930-е годы | История ЕГЭ для 10 класса | Умскул

👉 Забирай бесплатные полезные файлы для подготовки к ЕГЭ по истории из закрепа в телеграм-канале: Я Никита Равич, готовлю 10-классников к ЕГЭ по истории в онлайн-школе «Умскул». Мои выпускники сдают ЕГЭ в среднем на 20 баллов выше, чем по России. Маэстро исторических мемов. Ценители этого вида искусства, жду вас на своих занятиях! 🍓 Готовься к ЕГЭ вместе с Умскул уже сейчас, чтобы точно сдать на максимум. Переходи по ссылке, чтобы записаться или задать вопрос: Мы составим для тебя персональный трек обучения по 4 предметам так, что ты не выгоришь, и поможем поступить в вуз, о котором ты мечтаешь! С нашими преподавателями ты точно поймёшь и полюбишь предмет и узнаешь обо всех подводных камнях экзаменов. Немного об Умскул: — Каждый... Смотреть видео...

ЕГЭ по истории 14.04.2026: быстрый разбор заданий и ошибок

👉 Забирай бесплатные полезные файлы для подготовки к ЕГЭ по истории из закрепа в телеграм-канале: Я Никита Равич, готовлю 10-классников к ЕГЭ по истории в онлайн-школе «Умскул». Мои выпускники сдают ЕГЭ в среднем на 20 баллов выше, чем по России. Маэстро исторических мемов. Ценители этого вида искусства, жду вас на своих занятиях! 🍓 Готовься к ЕГЭ вместе с Умскул уже сейчас, чтобы точно сдать на максимум. Переходи по ссылке, чтобы записаться или задать вопрос: Мы составим для тебя персональный трек обучения по 4 предметам так, что ты не выгоришь, и поможем поступить в вуз, о котором ты мечтаешь! С нашими преподавателями ты точно поймёшь и полюбишь предмет и узнаешь обо всех подводных камнях экзаменов. Немного об Умскул: — Каждый 8-й... Смотреть видео...

70 баллов за 20 минут: ЕГЭ по математике ПРОФИЛЬ 2025 | Умскул

👉Забирай бесплатные полезные файлы и начинай подготовку к ЕГЭ вместе по профильной математике с Умскул уже сейчас, чтобы точно сдать на максимум: Я Евгений Тьюринг, готовлю 10-классников к ЕГЭ по профильной математике в онлайн-школе «Умскул». Я эксперт ЕГЭ по профильной математике, преподаю в НИУ ВШЭ и выпустил уже 15 000 10-классников. Включаю в свои занятия геймификацию и визуализацию, ведь так изучать математику намного интереснее. Присоединяйся! 🍓 Готовься к ОГЭ и ЕГЭ вместе с Умскул уже сейчас, чтобы точно сдать на максимум. Переходи по ссылке, чтобы записаться или задать вопрос: Мы составим для тебя персональный трек обучения по 4 предметам так, что ты не выгоришь, и поможем поступить в вуз, о котором ты мечтаешь! С нашими... Смотреть видео...

НОВОЕ №16 на ЕГЭ 2026: гроб | Информатика ЕГЭ | Умскул

👉 Забирай мой авторский сборник и шаблоны прог для подготовки к ЕГЭ по информатике из закрепа в телеграм-канале: Я Виктория Ланская, готовлю 11-классников к ЕГЭ по информатике в онлайн-школе «Умскул». Выпустила 135 стобалльников, а 1 600+ моих учеников сдали на 90+. Я покажу тебе, что информатика — это про возможности и творчество! 🍓 Готовься к ЕГЭ вместе с Умскул уже сейчас, чтобы точно сдать на максимум. Переходи по ссылке, чтобы записаться или задать вопрос: Мы составим для тебя персональный трек обучения по 4 предметам так, что ты не выгоришь, и поможем поступить в вуз, о котором ты мечтаешь! С нашими преподавателями ты точно поймёшь и полюбишь предмет и узнаешь обо всех подводных камнях экзаменов. Немного об Умскул: — Каждый... Смотреть видео...

Задание 13 ЕГЭ русский: правописание «НЕ» и «НИ» | Умскул

👉 Забирай бесплатные полезные файлы для подготовки к ЕГЭ по русскому из закрепа в телеграм-канале: Я Мария Вельф, преподаватель русского языка для учеников 10-х классов в онлайн-школе «Умскул». Я готовлю к ЕГЭ и взращиваю грамотность через любовь к русскому языку ❤️ 🍓 Готовься к ЕГЭ вместе с Умскул уже сейчас, чтобы точно сдать на максимум. Переходи по ссылке, чтобы записаться или задать вопрос: Мы составим для тебя персональный трек обучения по 4 предметам так, что ты не выгоришь, и поможем поступить в вуз, о котором ты мечтаешь! С нашими преподавателями ты точно поймёшь и полюбишь предмет и узнаешь обо всех подводных камнях экзаменов. Немного об Умскул: — Каждый 8-й стобалльник России в 2025 году готовился в Умскул. — Подготовили... Смотреть видео...

Как правильно оформлять задания второй части на ЕГЭ по обществознанию? | РАЗБИРАЮ РАБОТЫ ВЫПУСНИКОВ

👉 Забирай мою мегакрутую подборку из 25 бесплатных полезных файлов для подготовки к ЕГЭ по обществознанию из закрепа в телеграм-канале: Я Кристина Лазарева, готовлю 10-классников к ЕГЭ по обществознанию в онлайн-школе «Умскул». — Сдала ЕГЭ по обществознанию на 100 баллов. — Дважды окончила юридический факультет МГУ им. М. В. Ломоносова с красным дипломом. — Прошла повышение квалификации: эксперт ЕГЭ по обществознанию. На занятиях со мной ты подготовишься не только к ЕГЭ по обществознанию, но и к поступлению на юрфак. Обществознание не только поможет в поступлении, но и научит жить! 🍓 Готовься к ЕГЭ вместе с Умскул уже сейчас, чтобы точно сдать на максимум. Переходи по ссылке, чтобы записаться или задать вопрос: Мы составим для... Смотреть видео...