Вяжем и худеем. Вяжем с Аленой Никифоровой.

Вяжем и худеем.  Вяжем с Аленой Никифоровой.

Видео: Вяжем и худеем. Вяжем с Аленой Никифоровой.

RuTube

ГеоПодарок: подари знания о формах

Опубликовано: 28.12.2023 в 00:00:00 | Продолжительность: 02:21:17

Multistreaming with Вяжем и худеем. Вяжем с Аленой Никифоровой. Поблагодарить меня можно по ссылке Повяжем потрендим. Вяжу рукав. Вяжем с Аленой Никифоровой. АленаНикифорова,

#Аленаникифорова

Комментарии ( 0 )
Введите имя и нажмите войти
Войти

Сначала новые
Сначала старые
Сначала лучшие

Присоединяйтесь к обсуждению

М
Гость
Несомненно, такие автомобили могут быть как дом и послужить отличным вариантом, чтобы отправиться в путешествие и не нуждаться в первых привычных потребностях: принять душ во время жаркой погоды, либо переночевать. Дом на колесах от марки Лада подойдут для двоих и элементарно выручит в проблемной...
М
Гость
Латиноамериканская музыка ворвалась в нашу жизнь внезапно и резко, в лице Рики Мартина, лет 20 назад. И с тех пор добавляла вс е новых и новых исполнителей. Не все они стали известны, но, вот, Шакире повезло. Хотя как назвать везением ежедневную работу над своим телом, голосом, имиджем. Все, что ...
М
Гость
М
Гость
Всё лфигенно круто все работает
М
Гость
Кошка Маша просто героиня,не каждая кошка бы так сделала.Я бы сразу забрала себе такую замечательную спасительницу.Кошки это особые животные которые тоже могут сделать такое в которое очень трудно поверить,но пример доказывает это.Поэтому нужно очень любить животных и они вам будут отвечать добро...

вынос флага
Смотреть
ГеоПодарок: подари знания о формах
  2024-01-11 в 18:42:58
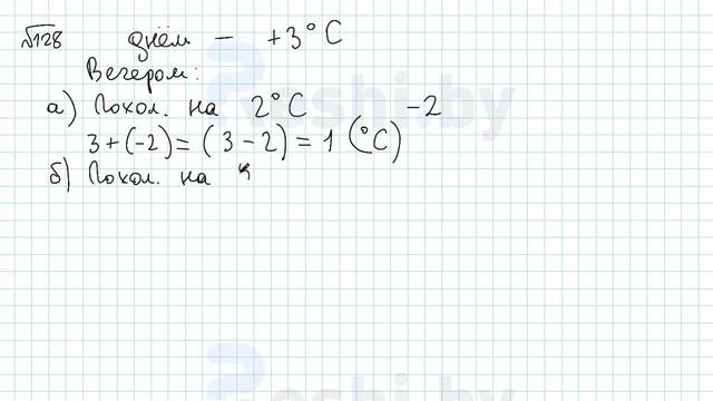
№128 / Глава 4 - ГДЗ по математике 6 класс Герасимов
Смотреть
ГеоПодарок: подари знания о формах
  2024-01-11 в 18:45:53
Шарики для пневматики, арт. Z0000014517
Смотреть
ГеоПодарок: подари знания о формах
  2024-01-11 в 18:37:20
Ветрогенератор из старья в гараже.
Смотреть
Остап Сулейман Берта Мария Бендер Бэй
  2025-10-19 в 20:05:46
Задание № 408 (1) - Математика 6 класс (Виленкин, Жохов)
Смотреть
ГеоПодарок: подари знания о формах
  2024-01-11 в 18:27:53
Простой зарядник при блекаунде.
Смотреть
Остап Сулейман Берта Мария Бендер Бэй
  2025-10-19 в 20:21:32
Как удалить друга в Одноклассниках
Смотреть
Крутой совет для лэшмастеров!
Смотреть
№1 обучение наращиванию ресниц в РФ с гарантией
  2025-10-19 в 18:32:35
24.11.22 6 клас Перетворення звичайних дробів у десяткові Узагальнення
Смотреть
Вторая жизнь швейной машинке
Смотреть
Геннадий Питьков
  2025-10-19 в 20:29:43
AN EASY WAY To SOLVE MATHEMATICAL EXAMPLES_in 10 Seconds
Смотреть
ГеоПодарок: подари знания о формах
  2024-01-11 в 18:42:23
пиццы по 8 рублей )))) !!!! шок цены шок контент
Смотреть
ГеоПодарок: подари знания о формах
  2024-01-11 в 18:28:53
Второй закон Ньютона третьего порядка.
Смотреть
ГеоПодарок: подари знания о формах
  2024-01-11 в 18:31:19
катадся на велосипед
Смотреть
Как разложить Диван РОД-289
Смотреть
Уют и Комфорт НН
  2025-10-19 в 19:25:53
ВЕЧНАЯ ТРЯПКА КОЛЬЧУЖКА
Смотреть