Novacutan BioPro Dynamic Lifting

Novacutan BioPro  Dynamic Lifting

Видео: Novacutan BioPro Dynamic Lifting

RuTube

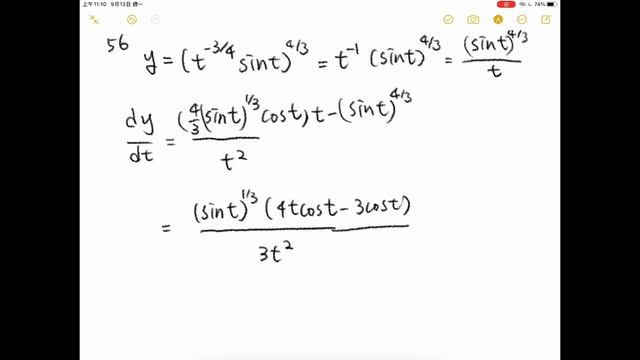
Math Warriors

Опубликовано: 21.01.2025 в 00:00:00 | Продолжительность: 00:02:58

Novacutan BioPro Dynamic Lifting. Model 46 y.o.,

#

Комментарии ( 0 )
Введите имя и нажмите войти
Войти

Сначала новые
Сначала старые
Сначала лучшие

Присоединяйтесь к обсуждению

М
Гость
А что если затопить мозг автору видео? :)
М
Гость
незнайка 008 очень четко разобрала все махинации,жанна действует в юрисдикции рф,а таня в сссср
М
Гость
Есть действительно полезные советы. Но их очень мало..

Два брата, такие разные💥 Сын весь в отца. 💥
Смотреть
С мячом к победе: «Надеждинская футбольная лига» встречает юных футболистов
Смотреть
И ЖИЗНЬ, И СЛЕЗЫ,И ЛЮБОВЬ . - ВЛОГ - 21 АПРЕЛЯ
Смотреть
Suiryu Vs All Monsters , Suiryu Vs Gouketsu,
Смотреть
Круг перепел Виагру
Смотреть
22-04-2026
Смотреть
Денис
  2026-04-22 в 05:47:59
Alabama Hills Slow Ride On Betty Boop, The TW200
Смотреть
Счастливый день
Смотреть
DenisShestakov
  2026-04-22 в 05:04:40
Integral(cos(4x)cos(2x))dx
Смотреть
Math Warriors
  2025-01-26 в 11:03:02
Дополнительные Услуги
Смотреть
Math 30-2 Sinusoidal Functions Review MC#12
Смотреть