81.Задачка 19 ЕГЭ по математике для новичков!

81.Задачка 19 ЕГЭ по математике для новичков!

Видео: 81.Задачка 19 ЕГЭ по математике для новичков!

RuTube

Теоремы, которые все должны знать

Опубликовано: 30.12.2023 в 00:00:00 | Продолжительность: 00:02:59

Решаем задачу о перевозке груза. Чуть-чуть сообразительности и все будет хорошо! ЗАДАЧНИК КО ВСЕМ РОЛИКАМ: МОИ КУРСЫ: УСКОРИТЬ ПРОЦЕСС СОЗДАНИЯ НОВОГО ВИДЕО: VK: И сегодня же возьмем еще одну задачу: уж больно легкая новичкам на заметку. Далее будет сочная задача на арифметическую прогрессию несколько любопытных задач в плане формализации и обязательно рассмотрим пример в котором выручает умение работать с диофантовыми уравнениями. Условие. Имеются каменные глыбы: 50 штук по 800 кг 60 штук по 1000 кг и 60 штук по 1500 кг раскалывать глыбы нельзя. А также грузовики для перевозки этих глыб грузоподъемностью 5 тонн. а Можно ли увезти все эти глыбы одновременно на 60 грузовиках? б Можно ли увезти все эти глыбы одновременно на 38 грузовиках? в Какое наименьшее количество грузовиков потребуется для перевозки всех глыб? 0:00 Условие 0:42 Пункт а 1:20 Пункты б и в БОЛЬШЕ КРУТЫХ ЗАДАЧ ПО ТЕОРИИ ЧИСЕЛ 1. Самая трудная задача на ютубе: 2. Красивая задача из ЕГЭ: 3. Задача о множествах и подмножествах: Математика Арифметика Числа,

#Арифметика #Математика #Числа

Комментарии ( 0 )
Введите имя и нажмите войти
Войти

Сначала новые
Сначала старые
Сначала лучшие

Присоединяйтесь к обсуждению

М
Гость
Есть такие музыкальные дуэты, которые запоминаются своими песнями надолго и при этом они хороши именно потому, что они дуэты. А не одиночки.. Так было и с "Чай вдвоем": красивейшие песни ( "Ласковая моя" была несомненным хитом, да и до сих пор многие ее любят и слушают, и, конечно же, исп...
М
Гость
Так и не понятно...по какому адресу Сыто Пьяно был разгуляй?
М
Гость
привет!!! круто обожаю!!! я кстати на horror tyccon тоже іграл і відел тебя!!!
М
Гость
Всё лфигенно круто все работает
М
Гость
НЕЗНАЙКА 008 очень давно разобрала все махинаци банков,а до нее-сергей данилов витязь,академик,и много кто,пока мы живы,нужно бороться с нечистью!присоединяйтесь!

Chem 1 Sem Pract 07 Screencast 2021 10 18 13 31 49
Смотреть
Теоремы, которые все должны знать
  2023-12-30 в 04:14:05
Yuri Matsik       (  Юрий   Мацик )
Смотреть
Теоремы, которые все должны знать
  2023-12-30 в 04:25:45
каталог интернет магазин женской одежды
Смотреть
Теоремы, которые все должны знать
  2023-12-30 в 04:20:09
Слова песни Гости Из Будущего - Один Шаг
Смотреть
Теоремы, которые все должны знать
  2023-12-30 в 04:25:25
урок 2.теория вероятностей. задачи средней трудности.(ВПР,ОГЭ,ЕГЭ)
Смотреть
Вуду слов. Уровень 11 на 7 букв  тротуар
Смотреть
Теоремы, которые все должны знать
  2023-12-30 в 04:17:48
Profesionaly DRIP (Maxo Je Kkt)
Смотреть
Теоремы, которые все должны знать
  2023-12-30 в 04:21:03
Учим цифры до 10 для дошкольников
Смотреть
GDZTube.com - ГДЗ, краткие пересказы и конспекты
  2026-04-19 в 18:48:43
G070803 Перша і друга ознаки рівності трикутників Задача 3
Смотреть
Теоремы, которые все должны знать
  2023-12-30 в 04:14:25
All Secret Ways In Dash
Смотреть
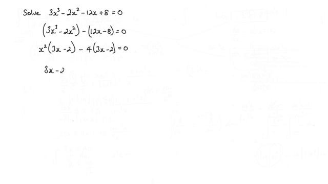
How To Solve 3x^3-2x^2-12x+8=0
Смотреть
Теоремы, которые все должны знать
  2023-12-30 в 04:28:22
витт интернет магазин женской одежды
Смотреть
Теоремы, которые все должны знать
  2023-12-30 в 04:21:49
Принцип Дирихле Урок13,14,15
Смотреть
Теоремы, которые все должны знать
  2023-12-30 в 04:24:13
ОГЭ_математика_тип 14_3
Смотреть
Школьная математика
  2026-04-19 в 18:56:27
TFTDS / Лекция 15 / PBFT
Смотреть
Теоремы, которые все должны знать
  2023-12-30 в 04:22:25