Set Theory Sage

Новые видео канала Set Theory Sage на сегодняшний день 20 April 2026 года

Set Theory Sage
  26.01.2025
Set Theory Sage
  26.01.2025
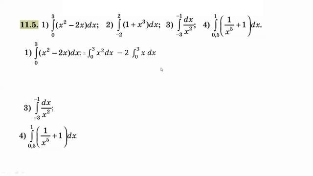
Set Theory Sage
  26.01.2025
Set Theory Sage
  26.01.2025

Set Theory Sage - смотрите онлайн



ATEN Secure Remote Access Solutions - CN Series Of Over IP KVM Switches

Remote work often relies on software to do all the heavy lifting but softwareonly solutions have vulnerabilities that hardware solutions do not The ATEN CN series of Singleport over IP KVM Switches offers a secure solution for remote PC access to secure your remote working future Get better remote access by getting in touch with our experts today Watch the full video Follow us to stay up to Смотреть видео...


Пътят на орхидеята - пърформанс на Искра Сотирова

Орхидария КрумСотиров орхидеи орхидеенообщество Проектът Пътят на орхидеята на варненската авторка Искра Сотирова съчетава фотографии на колекционерски орхидеи и поезия вдъхновена от тези извънземни създания Пърформансът бе представен пред публиката на Zona Nira Art пространство за арткомуникации във Варна и е посветен на 7та годишнина на Първо орхидеено общество в България 30те фотографии на Смотреть видео...


Laplace Transform Of Basic Signals (Exponential Signals)

Signal System Laplace Transform of Exponential Signals Topics discussed 1 Laplace transform and ROC of eatut 2 Laplace transform and ROC of eatut 3 Laplace transform and ROC of eatut 4 Laplace transform and ROC of eatut Follow Neso Academy on Instagram nesoacademy Follow me on Instagram sujeetsingh20 Contribute Memberships Books Website Forum Facebook Twitter Music Axol x Смотреть видео...